Đề thi thử THPT QG năm 2022 môn Sinh Học online – Đề thi của Trường THPT Hoa Lư giúp bạn ôn tập kiến thức một cách có hệ thống thông qua hệ thống câu hỏi đa dạng. Các câu hỏi được sắp xếp từ dễ đến khó giúp bạn tiếp cận kiến thức từng bước. Đặc biệt phù hợp với những bạn đang ôn thi. Thông qua quá trình làm bài, bạn có thể nhận ra lỗ hổng kiến thức. Điều này giúp việc học trở nên chủ động hơn.
Đề thi thử THPT QG năm 2022 môn Sinh Học online – Đề thi của Trường THPT Hoa Lư
Câu 1: Cho biết: Ở chim, thức ăn sau khi được đi vào miệng thì sẽ di chuyển qua các cơ quan theo tuần tự?
Câu 2: Biết các bằng chứng tiến hóa thường cho kết quả chính xác hơn cả về hai loài hiện đang sống là có quan hệ họ hàng gần gũi nhất với nhau và chúng được tách nhau ra từ một tổ tiên chung và cách đây từ bao nhiêu năm là
Câu 3: Ở người, bệnh nào sau đây do đột biến cấu trúc nhiễm sắc thể gây ra A. Bệnh ung thư máu B. Bệnh mù màu C. Bệnh bạch tạng D. Bệnh thiếu máu hồng cầu hình liềm?
Câu 4: Xác định: Tất cả các ion khoáng đi vào cơ thể thực vật luôn phải đi qua màng sinh chất của loại tế bào?
Câu 5: Em hãy cho biết: Khi nói về chọn lọc tự nhiên, phát biểu nào đúng?
Câu 6: Hãy cho biết phương pháp nào không thuộc công nghệ tế bào?
Câu 7: Hãy cho biết: Khi nói về tháp sinh thái, phát biểu nào đúng?
Câu 8: Cho biết có bao nhiêu nhân tố làm thay đổi tần số tương đối của các alen không theo một hướng xác định? I. Đột biến. II. Chọn lọc tự nhiên III. Các yếu tố ngẫu nhiên IV. Di – nhập gen.
Câu 9: Hãy cho biết: Một quần thể có thành phần kiển gen là: 0,25AA : 0,70Aa : 0,05aa. Tần số của alen A là?
Câu 10: Chọn đáp án đúng: Trong lịch sử phát triển của thế giới sinh vật, ở kỉ nào sau đây Dương xỉ phát triển mạnh, thực vật có hạt xuất hiện, Lưỡng cư ngự trị, phát sinh bò sát?
Câu 11: Xác định: Cơ thể tứ bội giảm phân chỉ sinh ra giao tử lưỡng bội, mỗi gen quy định một tính trạng và alen trội là trội hoàn toàn. Theo lí thuyết, phép lai nào cho đời con có tỉ lệ phân li kiểu hình 5 : 1?
Câu 12: Cho biết một gen ở sinh vật nhân sơ dài 306 nm và có số nuclêôtit loại xitôzin chiếm 28% tổng số nuclêôtit của gen. Theo lí thuyết, gen này có số nuclêôtit loại ađênin là?
Câu 13: Trong các nhận định về alen trội đột biến ở trạng thái lặn được phát sinh trong giảm phân, có bao nhiêu nhận định đúng? (1) Có thể được tổ hợp với một alen trội tạo ra thể đột biến. (2) Có thể được phát tán trong quần thể nhờ quá trình giao phối. (3) Không bao giờ được biểu hiện ra kiểu hình. (4) Được nhân lên ở một số mô cơ thể và biểu hiện ra kiểu hình ở một phần cơ thể.
Câu 14: Xác định trong các giai đoạn hô hấp hiếu khí ở thực vật, giai đoạn nào tạo ra nhiều năng lượng nhất?
Câu 15: Xác định: Loại đột biến nào làm thay đổi cấu trúc của nhiễm sắc thể?
Câu 16: Cho biết: Trong mối quan hệ hỗ trợ giữa các loài trong quần xã?
Câu 17: Khi nói về đột biến gen, hãy cho biết phát biểu nào sau đây sai?
Câu 18: Cho biết khi quan sát số lượng cây cỏ mực ở trong một quần xã sinh vật, người ta đếm được 50 cây/m2. Số liệu trên cho ta biết được đặc trưng nào của quần thể?
Câu 19: Xét trong trường hợp mỗi cặp tính trạng do một cặp gen quy định, alen trội là trội hoàn toàn. Tiến hành phép lai P: AaBbDd x AaBBdd, thu được F1. Theo lí thuyết, ở F1, cá thể thuần chủng về cả 3 tính trạng chiếm tỷ lệ
Câu 20: Cho biết: Loài sinh vật A có giới hạn sinh thái về nhiệt độ từ 25 đến 33 , giới hạn chịu đựng về độ ẩm từ 70% đến 95%. Trong 4 loại môi trường, loài sinh vật này có thể sống ở môi trường nào?
Câu 21: Dấu hiệu nào phân biệt sự khác nhau giữa hệ sinh thái tự nhiên và hệ sinh thái nhân tạo?
Câu 22: Hãy cho biết: Khi nói về đột biến gen, có bao nhiêu phát biểu đúng? I. Một gen có nhiều alen nếu bị đột biến 10 lần thì sẽ tạo ra tối đa 10 alen mới. II. Đột biến điểm làm thay đổi chiều dài của gen thì luôn dẫn tới làm thay đổi tổng liên kết hidro của gen. III. Đột biến làm tăng tổng liên kết hidro của gen thì luôn làm tăng chiều dài của gen. IV. Ở gen đột biến, hai mạch của gen không liên kết theo nguyên tắc bổ sung.
Câu 23: Một cơ thể đực có kiểu gen AaBb tiến hành giảm phân tạo giao tử. Biết không xảy ra đột biến. Theo lí thuyết, xác định có bao nhiêu phát biểu đúng? I. Nếu chỉ có 1 tế bào giảm phân không có hoán vị thì chỉ sinh ra 2 loại giao tử. II. Nếu chỉ có 2 tế bào giảm phân thì tối thiểu sẽ cho 2 loại giao tử. III. Nếu chỉ có 3 tế bào giảm phân thì có thể sẽ sinh ra 4 loại giao tử với tỉ lệ 2:2:1:1. IV. Nếu chỉ có 4 tế bào giảm phân tạo ra 4 loại giao tử thì mỗi loại giao tử luôn chiếm tỉ lệ 25%.
Câu 24: Hãy cho biết khi xét 5 loài sinh vật: Châu chấu, cá chép, trâu rừng, thằn lằn, đại bàng. Có bao nhiêu phát biểu sau đây đúng? I. Tất cả các loài này đều có cơ quan tiêu hóa dạng ống. II. Tất cả các loài này đều có hệ tuần hoàn kín. III. Có 3 loài hô hấp bằng phổi, trong đó chỉ có 2 loài xảy ra trao đổi khí ở các phế nang. IV. Có 3 loài có hệ tuần hoàn kép.
Câu 25: Xét theo thuyết tiến hóa hiện đại, có bao nhiêu phát biểu đúng? I. Khi không có tác động của các nhân tố: Đột biến, chọn lọc tự nhiên và di – nhập gen thì tần số alen và thành phần kiểu gen của quần thể sẽ không thay đổi. II. Chọn lọc tự nhiên làm thay đổi đột ngột tần số alen và thành phần kiểu gen của quần thể. III. Quá trình tiến hóa nhỏ diễn ra trên quy mô quần thể và diễn biến không ngừng dưới tác động của các nhân tố tiến hóa. IV. Các yếu tố ngẫu nhiên làm nghèo vốn gen quần thể, giảm sự đa dạng di truyền nên luôn dẫn tới tiêu diệt quần thể.
Câu 26: Khi nói về lưới thức ăn, số phát biểu đúng là? I. Quá trình diễn thế nguyên sinh luôn dẫn tới làm thay đổi mạng lưới ding dưỡng của quần xã. II. Quá trình diễn thế thứ sinh thường không làm thay đổi số lượng chuỗi thức ăn có trong quần xã. III. Trong một chuỗi thức ăn thường có không quá 7 loài sinh vật. IV. Một loài có thể tham gia vào nhiều chuỗi thức ăn khác nhau nhưng trong một chuỗi thì thường chỉ có 1 loài.
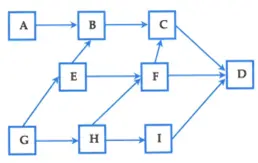
Câu 27: Cho biết: Giả sử lưới thức ăn trong một hệ sinh thái gồm các loài sinh vật A, B, C, D, E, F, G,H, I được mô tả bằng sơ đồ hình bên. Cho biết loài A và G là sinh vật sản xuất và các loài còn lại đều là sinh vật tiêu thụ. Phân tích lưới thức ăn này, có bao nhiêu phát biểu sau đây đúng? I. Có 2 chuỗi thức ăn gồm 5 mắt xích. II. Loài F tham gia vào nhiều chuỗi thức ăn hơn loài D. III. Loài F và I có sự trùng lặp ổ sinh thái. IV. Loài D chắc chắn là vi sinh vật. Có bao nhiêu phát biểu sau đây đúng?

Câu 28: Cho biết: Ở một loài động vật, xét 3 gen A, B và D. Trong đó gen A nằm trên nhiễm sắc thể thường có 5 alen; Gen B nằm trên vùng không tương đồng của nhiễm sắc thể X có 3 alen; Gen D nằm trên vùng tương đồng của nhiễm sắc thể giới tính có 4 alen. Theo lí thuyết, có bao nhiêu phát biểu sau đây đúng? I. Quần thể có tối đa 1890 kiểu gen. II. Ở giới XY có tối đa 720 kiểu gen. III. Ở giới XX có tối đa 60 kiểu gen đồng hợp. IV. Ở giới XX sẽ có tối đa 60 loại giao tử.
Câu 29: Hãy cho biết một đoạn mạch gốc của gen A (SVNT) có 15 nuclêôtit là: 3’GXA TAA GGG XXA AGG5’. Các côđon mã hóa axit amin : 5’UGX3’, 5’UGU3’ quy định Cys; 5’XGU3’, 5’XGX3’; 5’XGA3’ quy định Arg; 5’GGG3’, 5’GGA3’, 5’GGX3’, 5’GGU3’ quy định Gly; 5’AUU3’, 5’AUX3’, 5’AUA3’ quy định Ile; 5’XXX3’, 5’XXU3’,5’XXA3’, 5’XXG3’ quy định pro; 5’UXX3’ quy định Ser. Đoạn mạch gốc của gen nói trên mang thông tin quy định trình tự của 5 axit amin. Theo lí thuyết, có bao nhiêu phát biểu sau đây đúng? I. Nếu gen A bị đột biến mất cặp A-T ở vị trí thứ 4 của đoạn ADN nói trên thì côđon thứ nhất không có gì thay đổi về thành phần các nuclêôtit. II. Nếu gen A bị đột biến thêm cặp G-X ngay trước cặp A-T ở vị trí thứ 13 thì các côđon của đoạn mARN được tổng hợp từ đoạn gen nói trên không bị thay đổi. III. Nếu gen A bị đột biến thay thế cặp G-X ở vị trí thứ 10 thành cặp T- A thì đoạn polipeptit do đoạn gen trên tổng hợp có trình tự các axit amin là Arg – Ile – Pro – Cys – Ser. IV. Nếu gen A bị đột biến thay thế cặp A-T ở vị trí số 6 thành X-G thì phức hợp axit – tARN khi tham gia dịch mã cho bộ ba này là Met – tARN.
Câu 30: Xét khi nói về quần thể sinh vật, có bao nhiêu phát biểu đúng? I. Các sinh vật trong một loài có thể thuộc nhiều quần thể khác nhau nhưng các sinh vật trong một quần thể thì chỉ thuộc một loài. II. Trong mỗi quần thể, các cá thể có thể có mối quan hệ hỗ trợ hoặc cạnh tranh nhau. III. Khi nguồn sống khan hiếm thì luôn xảy ra sự cạnh tranh giữa các cá thể. IV. Cấu trúc tuổi của quần thể có ảnh hưởng đến tỉ lệ sinh sản của quần thể.
Câu 31: Cho biết khi nói về nhiễm sắc thể và đột biến nhiễm sắc thể, số phát biểu đúng? I. Ở tế bào sinh dục, đột biến chỉ xảy ra ở cặp nhiễm sắc thể giới tính. II. Ở tế bào sinh dưỡng, đột biến không xảy ra ở cặp nhiễm sắc thể giới tính. III. Cùng một loài động vật, tất cả các đột biến thể một đều có bộ nhiễm sắc thể giống nhau và có kiểu hình giống nhau. IV. Các đột biến lệch bội không làm thay đổi cấu trúc của các phân tử protein do gen quy định.
Câu 32: Cho biết một phân tử ADN mạch kép nhân đôi một số lần liên tiếp đã tạo ra được 62 mạch pôlinuclêôtit mới. Theo lí thuyết, có bao nhiêu phát biểu sau đây đúng? I. Phân tử ADN nói trên đã nhân đôi 5 lần liên tiếp. II. Tất cả các mạch đơn nói trên có trình tự bổ sung với nhau từng đôi một. III. Trong các phân tử ADN con được tạo ra, có 31 phân tử cấu tạo hoàn toàn từ nguyên liệu của môi trường nội bào. IV. Trong các phân tử ADN con được tạo ra, có 30 phân tử cấu tạo hoàn toàn từ nguyên liệu của môi trường nội bào.
Câu 33: Cho biết khi xét: Một loài thực vật, tính trạng hình dạng quả do 2 cặp gen A, a và B, b quy định. Kiểu gen có cả hai alen trội A và B quy định quả tròn; kiểu gen chỉ có một alen trội A hoặc B quy định quả dài; kiểu gen đồng hợp lặn quy định quả dẹt. Cho cây quả tròn giao phấn với cây quả dài (P), thu được F1 có 4 kiểu tổ hợp giao tử khác nhau. Theo lí thuyết, có bao nhiêu phát biểu sau đây đúng? I. Ở F1 có thể tạo ra tối đa 9 loại kiểu gen. II. Có 6 phép lai phù hợp với kết quả trên. III. Có 2 phép lai (P) thu được tỉ lệ phân li kiểu hình 3 cây quả tròn : 1 cây quả dài. IV. Ở F1, cây quả dẹt luôn chiếm tỉ lệ 25%.
Câu 34: Cho biết ở một loài thực vật lưỡng bội. Xét 3 locut gen PLĐL như sau: A trội hoàn toàn so với a; B trội hoàn toàn so với b và D trội không hoàn toàn so với d. Nếu không có đột biến xảy ra và không xét đến vai trò của bố mẹ thì sẽ có tối đa bao nhiêu phép lai thỏa mãn để đời con có tỉ lệ phân li KH là 3 :1. Biết mỗi gen quy định một tính trạng.
Câu 35: Cho bài toán: Một loài thực vật, tính trạng chiều cao thân do một cặp gen quy định, tính trạng màu hoa do một cặp gen khác quy định. Cho cây thân cao, hoa đỏ (P) tự thụ phấn, thu được F1 có 1000 cây, trong đó có 160 cây thân thấp, hoa trắng. Biết không xảy ra đột biến nhưng xảy ra hoán vị gen ở cả hai giới với tần số bằng nhau. Theo lí thuyết, có bao nhiêu phát biểu sau đây đúng? I. Đời F1 có 4 loại kiểu hình. II. Đời F1 có 660 cây thân cao, hoa đỏ. III. Tần số hoán vị gen 20%. IV. Nếu cho cây P lai phân tích thì sẽ thu được đời con có số cây thân cao, hoa đỏ chiếm 40%. V. Nếu cho cây P giao phấn với cây thân thấp, hoa đỏ dị hợp thì sẽ thu được đời con có số cây thân cao, hoa đỏ chiếm 35%.
Câu 36: Xét ở đậu Hà Lan, alen A quy định thân cao trội hoàn toàn so với alen a quy định thân thấp, alen B quy định hoa đỏ trội hoàn toàn so với alen b quy định hoa trắng. Hai cặp gen di truyền phân li độc lập với nhau. Cho 2 cây thân cao, hoa trắng tự thụ phấn thu được F1. Theo lí thuyết, F1 có thể có những tỉ lệ kiểu hình nào sau đây ? I. 100% cây thân cao, hoa trắng. II. 5 cây thân cao, hoa trắng : 3 cây thân thấp, hoa trắng. III. 2 cây thân cao, hoa đỏ : 1 cây thân thấp, hoa đỏ. IV. 7 cây thân cao, hoa trắng : 1 cây thân thấp, hoa trắng.
Câu 37: Cho một cơ thể (P), xét 3 cặp gen dị hợp Aa, Bb, Dd. Trong đó, cặp Aa nằm trên cặp nhiễm sắc thể số 1, cặp Bb và cặp Dd cùng nằm trên cặp nhiễm sắc thể số 2. Giả sử quá trình giảm phân bình thường, cơ thể P đã tạo ra loại giao tử Abd chiếm 11%. Cho biết không xảy ra đột biến, có bao nhiêu phát biểu sau đây đúng? I. Kiểu gen của P là $Aa\frac{{BD}}{{bd}}$ II. Cơ thể P sẽ tạo ra giao tử có 3 alen trội chiếm 14%. III. Trong quá trình giảm phân đã xảy ra hoán vị gen với tần số 44%. IV. Cho P lai phân tích, thu được Fa có số cả thể có kiểu gen đồng hợp tử về tất cả các gen chiếm tỉ lệ 1,5%.
Câu 38: Cho biết loài cây hoa đỏ giao phấn với cây hoa trắng (P), thu được F1 có 100% cây hoa đỏ. Cho F1 tự thụ phấn, thu được F2 có tỉ lệ kiểu hình 9 cây hoa đỏ : 6 cây hoa vàng : 1 cây hoa trắng. Biết rằng không xảy ra đột biến. Theo lí thuyết, có bao nhiêu phát biểu sau đây đúng? I. Ở F2, kiểu hình hoa vàng có kiểu gen dị hợp chiếm 12,5%. II. Ở F2, kiểu hình hoa đỏ có kiểu gen đồng hợp chiếm 6,25%. III. Ở F2, có 3 loại kiểu gen quy định kiểu hình hoa vàng. IV. Trong số các cây hoa trắng ở F2, cây có kiểu gen đồng hợp chiếm 50%.
Câu 39: Cho biết ở giống đậu Hà Lan, A quy định thân cao trội hoàn toàn so với 1 quy định thân thấp; B quy định hoa đỏ trội hoàn toàn so với b quy định hoa trắng. Hai cặp gen này di truyền phân li độc lập với nhau. Cho 2 cây thân cao, hoa đỏ tự thụ phấn thu được đời F1. Theo lí thuyết, có thể thu được đời F1 với những tỉ lệ kiểu hình nào sau đây? I. 100% cây thân cao, hoa đỏ. II. 7 cây thân cao, hoa đỏ : 1 cây thân cao, hoa trắng. III. 7 cây thân cao, hoa đỏ : 1 cây thân thấp, hoa đỏ. IV. 3 cây thân cao, hoa đỏ : 1 cây thân cao, hoa trắng. V. 3 cây thân cao, hoa đỏ : 1 cây thân thấp, hoa trắng. VI. 2 cây thân cao, hoa đỏ : 1 cây thân thấp, hoa đỏ.
Câu 40: Cho phả hệ ở hình dưới đây mô tả sự di truyền 2 bệnh ở người: Bệnh P do một trong hai alen của một gen nằm trên nhiễm sắc thể thường quy định; bệnh M do một trong hai alen của một gen nằm ở vùng không tương đồng trên nhiễm sắc thể giới tính X quy định. Biết rằng không xảy ra đột biến. Theo lí thuyết, có bao nhiêu phát biểu sau đây đúng? I. Trong gia đình cặp vợ chồng 3-4 và con đẻ của họ, có thể xác định được kiểu gen của người bố số 4 và các con. II. Người số 6 có kiểu gen đồng hợp tử về hai cặp gen. III. Xác suất sinh con thứ nhất chỉ bị bệnh P của cặp 12 - 13 là 1/48. IV. Xác suất sinh con thứ nhất là con trai và bị cả 2 bệnh của cặp 12 -13 là 1/48.
